GROUP BUY THREAD

(That's 01st June 2021 for our European friends)More
This is the first set designed by Inverse Design Collective, a group of individuals with their own skills coming together to create quality sets for this community.
Our project team for this set has been Buburoo, EURA, FreshFromTheGrave, and Anonymous-S.
What originally started off as a meme quickly became a passion project; KAM Li’l Dragon takes inspiration from the exiled dragon-child of anime series Miss Koboyashi’s Dragon Maid (Kobayashi-san Chi no Maid Dragon).
We wanted to create a set that is as faithful to the character, as it could be, in a mechanical keyboard keycap set. DSA Li’l Dragon is a set inspired by the physical characteristics of this small prankster. Her hair color inspired the top-down off-lilac to purple gradient; her dress, the pink accent color; and her hair beads, the dark blue-grey legends. In order to emulate her character in a typeface, we decided to go with all lowercase legends and a rounded sans serif, Proxima Nova Soft for the Latin Alphas, and Chihaya Jun for the Katakana Alphas. This set features novelty mods all inspired by elements of her character and the show itself. QUICK LINKS
Social Media Links
Launch Trailer
Renders
Colours
Kitting
Deskmats
Collabs
Vendors & Pricing
Signature
Please also consider joining our discord for early leaks and the most up-to-date information on the set, or following us on Instagram!


Not a valid vimeo URL
Renders:Click for larger imagesBoard: ErgoDox EZ



Board:
Treasure Type-9 by Treasure

Board: Charlotte by KaizesGB


Board:
GEIST by Maschine.
(Renders courtesy of Maschine)


Board:
Whimsy by _prkns



Board: Candybar by The Key Company



Board: M60A by Rama


Board: Evolv by NathanAlphaMan


Board: Okayu


Colours:
Kits:Click for larger images



















Deskmats:Click for larger images
Collabs:Quickly check out all our collaboration designs
here
Rocket CablesMore
MechfashionMore
ThokMore
Deag
okeydokey
Shirouu
Crafted by Annie
NutCracker Switch Opener by ILumKB
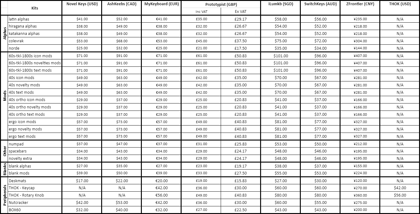
BOX 60 by Buger.WorksVendors & Pricing:
PLEASE NOTE:Any blank cells are prices yet to be confirmed.
Any cells shown as "N/A" are products that will not be sold by that vendor.
For US and Canadian buyers who wish to purchase the THOK Keycap or Rotary Knob please go directly to THOK's website.
Signature:[url=https://geekhack.org/index.php?topic=108950.0][img]https://i.imgur.com/S6wYGRd.gif[/img][/url]